|
|
IAA Experiments
|
This experiment is courtesy of 
|
|
|
|
Auxin: Indole-3-Acetic Acid (IAA),
A Hormone with Diverse Effects:
Synthesis and Applications
|
|

Developers:
|
|
Dr. Ranjini Weerasooriya
J. R. Masterman School
Philadelphia, PA 19130
|
Dan Loughner
Dr. Enrique L. Michelotti
Rohm and Haas Company
Spring House, PA l9477
|
|
|
|
|
|
Grade
Levels:
|
|
9-12
|
|
|
|
|
|
Discipline:
|
|
Biochemistry, Chemistry, Biology, AP Chemistry and also
Science Fair Projects
|
|
|
|
|
|
Objectives:
|
|
Upon completion of the project, the students will be able
to:
- Identify auxins from their structural formulas.
- Understand the process of refluxing in chemical
synthesis.
- Perform thin layer chromatography using silica gel
plates to differentiate chemical substances.
- Determine melting points of solids and use melting
point to determine the purity of substances.
- *Use `H-NMR spectroscopy to differentiate between
different compounds.
- *Use infra-red spectroscopy to differentiate between
different compounds.
- Prepare varying concentrations of solutions from a
stock solution (of known concentration).
- Determine the root initiation of lima beans with
varying concentrations of IAA.
- Graph IAA concentrations vs. number of rows of
lateral roots and length of lateral roots.
- Interpret the graphs in calculations.
- Understand the functions of plant hormones.
- Know the synthesis of indole acetic acid
(* for AP chemistry students only)
|
|
|
|
|
|
Specific
Objectives:
|
|
- To synthesize Indole-3-Acetic Acid (IAA).
- To determine the effect of different concentrations
of IAA on root initiation of lima beans.
- To determine the effect of different concentrations
of IAA with fertilizer solution on root initiation of
lima beans.
|
|
|
|
|
|
Background:
|
|
Plant hormones are chemical messengers which are produced
in one part of an organism and transported to other parts,
where they exert an effect out of all proportion to their
very small concentrations. There are at least five major
hormones in plants: Auxin, Cytokinins, Gibberellins,
Ethylene and Abscisic acid.
The name auxin comes from the greek Auxein, meaning "to
increase, or augment." The most commonly known naturally
occurring auxin is indole acetic acid or IAA. It is
synthesized by plants from the amino acid tryptophan. IAA is
produced in the apical meristems of shoots and diffuses
downward, suppressing the growth of lateral buds. In young
grass seedlings and other herbs, it plays a major role in
stem elongation, migrating from the illuminated portion of
the stem to the dark portions and thus causing the stems to
grow toward the light.
Auxin also increases the plasticity of the plant cell
wall. A more plastic wall will stretch more during active
cell growth, while its protoplast is swelling. Since very
low concentrations of auxin promote cell wall plasticity,
the hormone must be broken down rapidly to prevent its
accumulation. Plants do this by means of the enzyme indole
acetic acid oxidase. By controlling the level of both IAA
and IAA oxidase, plants can regulate their growth very
precisely.
Auxin also promotes the growth of vascular tissue in
stems and the growth of the vascular cambium itself. It
likewise increases fruit growth and also acts in other ways
to prevent leaves, fruits or flowers from falling off
prematurely. In high concentrations, auxins can cause
uncontrolled growth and plant death.
The molecules of synthetic organic compounds that exhibit
auxin activity have certain structural features in common.
An active auxin usually has a ring system as a nucleus, with
at least one double bond in the ring. To the nucleus is
attached a side-chain that terminates in a carboxyl group.
This group is separated from the nucleus by at least one
carbon atom and bears a particular spatial relation to the
ring system. Indole acetic acid is the perfect model for
these structural requirements.
|
|
|
|
|
|
Materials
and Equipment:
|
|
Part I
3-indolylacetonitrile
potassium hydroxide
ethanol
water
2 beakers
funnel (suction pump)
filter papers
Part II
8 jars (400-mL)
aluminum foil (heavy duty)
razor blade
Indole acetic acid
Peter's fertilizer solution
measuring cylinders, 500-mL and 50-mL
|
thermometer
hemispherical heating mantle
(boiling bath)
three-neck round bottom flask
condenser (reflux)
spatula
(see Figure 1)
Pipette (25-mL)
Lima bean seeds (Phaseolus limensis)
ruler (centimer)
2 beakers
potting soil
fiber tray
|
|
|
|
|
|
Part I:
|
|
Synthesis of Indole-3-Acetic Acid (See Figure 1)
- Mass 4.2g of potassium hydroxide (5g of 85% pure
salt) and place in a dry three-necked flask.
- Add 1 mL of water and dissolve the potassium
hydroxide pellets (Be careful not to adhere any pellets
to the sides of the flask).
- Add 45 mL of ethanol and 5g of 3 indolylacetonitrile
to the flask.
- Stir vigorously.
- Reflux the mixture for six hours using a
hemispherical heating mantle. The temperature of the
boiling solution is about 85�C. The temperature of
the boiling bath has to be 20�C higher than the
boiling mixture. Refer Figure 1.
- Take an extract from the refluxing mixture after
every hour and perform a thin layer chromatography (using
silica gel plates) of the extract, 3-indolylacetonitrile
and indoleacetic acid. The solvent used is ethyl
acetate/hexane 40/60 (by volume) prepared by mixing 4 mL
of ethyl acetate with 6 mL of hexane.
- Check the evolution of ammonia from the mixture using
a moistened litmus paper.
- You will see the formation of a crystalline solid
inside the flask after 2-3 hours of reflux.
- After refluxing the mixture for six hours,
concentrate the solution to half by distillation.
- Filter the solution using a suction pump and wash the
solid with alcohol. The solid is the potassium salt of
indoleacetic acid.
- Dissolve the crystalline solid in 50 mL of water and
neutralize it by adding concentrated hydrochloric acid
drop by drop (The pH of the solution has to be 1). A
precipitate forms. Filter it using a suction pump and
wash the solid with water until the liquids are neutral
(pH = 7).
- Air dry the crystalline indole acetic acid.
- Mix the filtrate from step 10 with 50 ml of dilute
sulfuric acid and filter. The precipate is worked up as
described in step 11.
- Determine the melting point of the solid and compare
your results with the value from literature.
- Mix the prepared indole acetic acid with an authentic
sample of IAA. Determine the melting point again to see
whether there is a depression of the melting poiny.
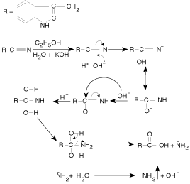
Reaction
Figure 1
Reaction Mechanism
(For Advanced Students)
|
|
|
|
|
|
Procedure:
|
|
Part II
Root initiation by indole acetic acid:
- Soak about 30 seeds of lima beans (Phaseolus
limensis) for about one hour in tap water in a
beaker.
- Plant the seeds well apart and about 1/2" deep in a
small, paper lined flat of potting soil.
- Water the soil thoroughly; then germinate in the dark
at 25�C for 5 days, until the hypocotyle begin to
show.
- Transfer the flat to the greenhouse, and grow for
additional 7-10 days.
- Completely cover the outside of eight 600-mL jars
with heavy duty aluminum foil.
- Prepare the IAA solutions as follows; 10 mg of IAA in
1 liter of water, 1 mg of IAA in 1 liter of water, 0.1 mg
of IAA in 1 liter of water,10 mg of IAA in 1 liter of
fertilizer solution, or prepare a stock solution of 10 mg
of IAA in 1 liter of the solution and dilute
accordingly.
- Add 400 mL of each solution to the covered jars; also
add 400 mL of distilled water and 400 mL of fertilizer
solution not containing IAA to two separate jars to be
used as controls.
- over each jar with aluminum foil and fasten with
rubber bands. Punch five holes in the foil using a
pencil.
- With a sharp razor blade, cut each bean plant at the
level of the earth, remove both cotyledons, cut the
hypocotyl 5 cm long, as measured from the point of
cotyledon attachment to the cut base.
- Put the hypocotyl through one of the holes in the lid
and into the solution, with the pair of leaves projecting
above the lid and cotyledonary stumps below the lid.
- Repeat the procedure, one plant at a time, working
rapidly to avoid drying of the plants, until 5 plants
have been placed in each jar. Refer to the diagram,
Figure 2.
- Place the jars in a row on the shelf above the
laboratory bench.
- Seven to ten days later, make the following
measurements on each hypocotyl.
a. Number of rows of lateral roots.
b. Number of lateral roots larger than 1 mm in each
row.
c. Number of lateral root primordia shorter than 1 mm in
each row.
d Length of lateral roots in mm.
- Determine the average for each treatment.
- Graph the averages vs. IAA concentrations.
Figure 2
|
|
|
|
|
|
Questions for
Part I:
|
|
- Write the structural formula of indole acetic
acid.
- How was the evolution of ammonia from the refluxing
mixture tested?
- What is the function of potassium hydroxide in the
reaction?
- How is the potassium salt of the acid converted to
indole acetic acid?
- What are the structural features of an auxin?
- *How will you use NMR spectroscopy to distinguish
between the hourly extracts and IAA.
- *How will you use thin layer chromatography to
distinguish between the products, reactants and hourly
extracts from the refluxing mixture.
|
|
|
Part II:
|
|
(For AP chemistry students only)
- Write the structural formula of indole acetic
acid.
- In the development of plant embryos, cells migrate
from the suspensor to an area near the shoot apical
meristem. Explain.
- Hormones are chemicals that "work at a distance".
Plants have only one class of hormones, called
gibberellins. True or False? Give reasons to your
answer.
- Many plants exhibit apical dominance, a phenomenon in
which the shoot apex actively suppresses the formation of
lateral branches. What is the reason for apical
dominance?
- State the inhibitor functions of plant hormones.
- Design a project using plant hormones (IAA) for a
science fair contest.
|
|
|
|
|
|
Teaching Tips
Part I:
|
|
- One day before, assemble all the equipment for
refluxing the mixture.
- As the refluxing is done for six hours, advise the
students to be early and also try to start the experiment
at least one hour before the school day.
- No sandals or open toe shoes are to be worn in the
lab. Rubber gloves and goggles are to be worn at all
times while conducting the experiment.
- Label the hourly extractions from the refluxing
mixture carefully, to be used for chromatography and
spectroscopy. (This part of the activity can be done on
another day.)
- The volume of the extraction must be few milliliters
as it will affect the yield.
|
|
|
Teaching Tips
Part II:
|
|
- Select plants as similar as possible.
- Do not place jars in the greenhouse, for there they
would suffer excessive water loss.
- The chemicals and equipment for the project can be
purchased from:
Fisher FMD
4901, W. LeMoyne Street
Chicago, IL 60651
Telephone No. 1-800-955-1177
|
|
|
|
|
|
References:
|
|
- Arms, Karen and Camp, P.S. "Biology", 3rd Edition,
Saunders College Publishing, Philadelphia
- Bauer, Kane and Anderson, Ham. Process for Preparing
Beta-Indolyl Acetic Acid. Patented November 19, 1940,
United States, Patent Office
- Bullock, M.W. and H. and J. J. Journal of American
Chemical Society, 78, 5852 (1956)
- Devlin, Robert M., "Plant Physiology", 3rd Edition,
D. Van Nostral Company, NY
- Hopson, Janet L. and Wessells, Norman K. "Essentials
of Biology", 2nd edition, McGraw Hill Publishing
Company
- Johnson, Henbent E. and Crosby, Donald G., 3-Indole
Acetic Acid, Journal of Organic Chemistry, 28, 1246
(1963)
- Machlis, Leonard and Torrey, John G., Plants In
Action, "Manual of Plant Physiology", W. H. Freeman
Company
- Postlethwait, J. and Hopson, Janet L. "The Nature of
Life", Random House, N.Y.
- Raven, Peter H. and Johnson, George B. "Biology", 2nd
Edition, Times Mirror/Mosby College Publishing, St. Louis
|
|
|
|
|
|
Extended
(Further)
Activities:
|
|
- Students will be able to determine the effect of
different concentrations of IAA on growth of apical
meristems of shoots and roots of plants, in presence or
absence of light.
- They will be able to observe the prevention of
abscission, the process by which a leaf or other organs
fall from a plant, in the presence or absence of IAA.
- Students will be able to see the effect of IAA as a
herbicide on plants (IAA is applied in higher
concentrations than those at which IAA normally occurring
in plants).
|
|
|
|
|
|
Parent
Compounds:
|
|
A. Parent Compounds
(all lack auxin activity)

B. Auxin Plan Regulators

C. Nonauxin Plant Regulators
|
|
This experiment is courtesy of 
|
|